OBJETIVO:
Realizar la operación, mediante microsoft visual c++ 6.0
MARCO TEÓRICO:
RESISTENCIA DE MATERIALES
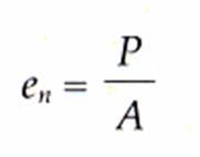
Esfuerzo Normal:Cuando una fuerza P actúa a lo largo de una barra su efecto sobre la misma depende no solo del material sino de la sección transversal que tenga la barra, de tal manera que a mayor sección mayor será la resistencia de la misma. Se define entonces el esfuerzo axial o normal como la relación entre la fuerza aplicada y el área de la sección sobre la cual actúa. O en otros términos como la carga que actúa por unidad de área del material.
Esfuerzo normal:
Siendo
P: Fuerza axial
A: Sección transversal
PLANTEAMIENTO DEL PROBLEMA
Ubicar los controles seleccioados:
3 Etiquetas
3 Cajas de Texto
3 Controles de Spin
1 Boton de Comandom
- Representamos las respectivas etiquetas, cajas de texto, Comandos Spin y el Botón Comando.
- Ahora procedemos a crear las variables miembros para los controles creados (Caja de Texto) de la siguiente manera
- Variable miembro de la MFC ClassWizard
- Modificamos ahora el evento OnlnitDialog() de la siguiente manera
- Agregue la siguiente codificacion en el boton IDC_CALCULAR
- Colocamos la codificación
- Resultado








No hay comentarios.:
Publicar un comentario